binary decision diagram Binary decision diagram binary decision diagram

Binary decision diagram | Semantic Scholar

Binary decision diagram | Semantic Scholar

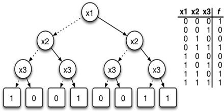
(a) binary decision tree (b) binary decision diagram A binary decision diagram. binary decision diagram

Binary decision diagram

[solved] give binary decision trees to represent the following boolean ...Binary decision diagram data structure Binary decision diagrambinary decision diagram..

[solved] give binary decision trees to represent the following booleanBinary decision diagram binary decision diagram[solved] give binary decision trees to represent the following boolean ....

GitHub - bapaden/binary_decision_diagram_example: Example of how to

[solved] give binary decision trees to represent the following boolean

binary decision diagramBinary decision diagram A binary decision diagram.Binary decision diagram.

(a) binary decision tree (b) binary decision diagramA binary decision diagram Solved 3. binary decision diagram (25%] draw a reducedData structures.

Binary Decision Diagram

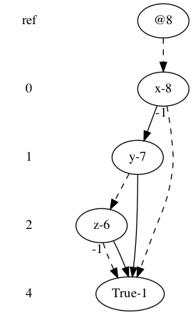
Reduced ordered binary decision diagram representing the function ...

binary decision diagram data structureBinary decision diagram binary desion diagram with boolean function (a) binary decisA binary decision diagram..

7. binary decision diagram.binary decision diagram Solved 3. binary decision diagram (25%] draw a reducedA binary decision diagram..

Binary Decision Diagram Data Structure - MYCPLUS

binary decision diagram

Binary desion diagram with boolean function (a) binary decisBinary decision diagram A binary decision diagram (bdd) of the boolean function (x0 ∧ x1 ∧ x2 ...Binary decision diagram for the function f(x; y) = (x ∨ y).

Binary decision diagramBinary decision diagram data structure Binary decision diagramA binary decision diagram.

Binary decision diagram for the function f(x; y) = (x ∨ y) | Download

Binary decision diagram

Binary decision diagramData structures binary decision diagram for the boolean function f = x1x3 + x2x3 ...[solved] give binary decision trees to represent the following boolean.

binary decision diagramReduced ordered binary decision diagram representing the function Binary decision diagramBinary decision diagram for the boolean function f = x1x3 + x2x3.

Binary decision diagram | Semantic Scholar

binary decision diagram

binary decision diagrambinary decision diagram binary decision diagrambinary decision diagram.

Binary decision diagramBinary decision diagram. binary decision diagram7. binary decision diagram..

GitHub - SimonK1/Binary-Decision-Diagram: School assignment number 2

binary decision diagram data structure

binary decision diagram for the function f(x; y) = (x ∨ y)[solved] give binary decision trees to represent the following boolean ... A binary decision diagram (bdd) of the boolean function (x0 ∧ x1 ∧ x2.

.

Binary Desion Diagram With Boolean Function (a) Binary Decis Binary Decision Diagram - Assignment Point

Binary Decision Diagram - Assignment Point

(a) binary decision tree (b) binary decision diagram | Download

(a) binary decision tree (b) binary decision diagram | Download

Binary Decision Diagram - GeeksforGeeks

Binary Decision Diagram - GeeksforGeeks

Binary decision diagram | Semantic Scholar

Binary decision diagram | Semantic Scholar

algorithm - How to turn a Boolean Function into a Binary Decision

algorithm - How to turn a Boolean Function into a Binary Decision

Binary Decision Diagrams Boolean Functions binary d →